Why is there no value for Internal Rate of Return (IRR) in Analysis?
If SolarNexus displays no value for the internal rate of return (or IRR) of a solution's finance scenario in the Analysis, its because there is no upfront investment of capital being made, and therefore, by definition there is no value for this metric.
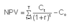
Internal rate of return is a discount rate that makes the net present value (NPV) of all cash flows from a particular project equal to zero. Here is the formula for NPV:

Where:
- Ct = net cash inflow during the period t
- Co= total initial investment costs
- r = discount rate, and
- t = number of time periods
In cases where the customer makes no upfront investment (for example, $0 down leases or loans), you will see that the NPV equation breaks down for finding a discount rate (r) that makes the NPV = $0. Try inputting NPV = $0, AND Co= $0. There is no way to solve for "r" that makes the equation true. So IRR is only a relevant metric when the customer is making an upfront investment.
IRR is a means of comparing two (or more) investments of the same size. Assuming the costs of investment are equal among the various projects, the project with the highest IRR would probably be considered the best and undertaken first.
For $0 down cases, NPV and LCOE are the best metrics.
Note that you will also see very high IRR's when the upfront investment is very small. These too are not very meaningful uses of the IRR metric. NPV and LCOE are more reflective of the value.